So geht es - 1a-Staubschutzhauben.de

Direkt zum Seiteninhalt

















Um Ihnen einen passendes Angebot zu schicken, müssen Sie die Felder rechts ausfüllen.
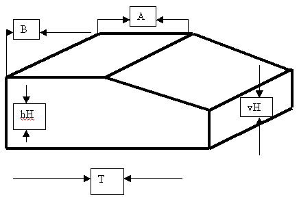
Messen Sie das Gerät genau aus oder schauen Sie in die Bedienungsanleitung und übernehmen diese Maßen.
Wir benötigen das genaue Maß OHNE zugabe in mm.
Tragen Sie diese in die Felder auf der rechten Seite ein. Bitte in mm angeben!
Welches Maß wohin, können Sie aus der obigen Zeichnung entnehmen.
Felder die nicht benötigt werden bitte eine 0 eintragen.
Sollte keines zutreffen so fertigen Sie uns eine Zeichnung mit den entsprechenden Maßen an und laden Sie diese hoch.
Nach dem zusenden der Daten, werden wir Ihnen ein entsprechendes Angebot unterbreiten.
Die Fertigung dauert in der Regel 10 bis 14 Tage.

Service Hotline
02304/963001
Informationen
Datenschutz
AGB
Impressum
E-Mail

Zurück zum Seiteninhalt